科研活动

    当前位置: 首页   >   科研进展   >   科研活动   >   正文

Pinning control of cluster synchronization in regular networks

2020/04/21  点击:[]

Liang Wang, Yali Guo, Ya Wang, Huawei Fan, and Xingang Wang*, Pinning control of cluster synchronization in regular networks, Phys. Rev. Research 2, 023084 (2020).


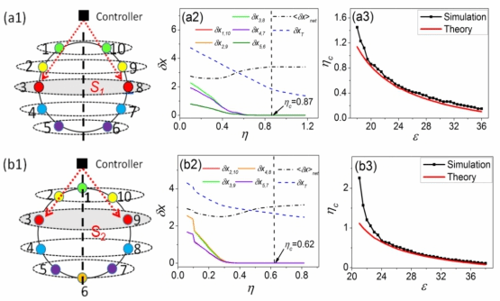
钉扎同步做为一种有效的控制网络耦合系统集体动力学行为的方法,已经被广泛的的应用在许多领域。不同于现有的做法将系统钉扎到全局同步态上,本文我们的研究是将系统钉扎到集团同步态中。在全连接网络中,我们发现当一部分节点被钉扎时,这部分节点就会形成一个同步集团,而其他未被钉扎的节点总是处于非同步态。我们通过对同步集团稳定性的理论分析,发现钉扎集团的临界控制强度反比于整体的耦合强度,并且不依懒于钉扎的节点数目。而然对于环形网络,我们发现钉扎的数目和位置都会影响到同步集团的划分和大小。通过对同步集团稳定性分析发现,不同于全连接网络,在环形网络中引入钉环会使网络的对称性退化,从而决定了集团的性质。

文章链接:https://doi.org/10.1103/PhysRevResearch.2.023084

 

上一条:暂态在生态系统的管理、保护和生物控制中具有重要的影响 下一条:Long-term prediction of chaotic systems with machine learning

/ 关闭 /